Vimでマインドマップをプレビュー

始めに

思考整理のため、Vimでマインドマップ書けないかなってちょっと調べて試したらできたので、 やり方の備忘録として残しておきます。

必要なもの

やり方

previmを導入すればMarkdownをプレビューできますが、Markdownだけではなくplantumlもプレビューしてくれます。 plantumlをプレビューするにはサーバを立て、previmを設定する必要があります。

まず、Dockerを使ってサーバを建てます。

docker run -d -p 8888:8080 plantuml/plantuml-server:jetty

これでplantumlのサーバが起動するので、次にprevimの設定をします。 ここで注意点ですがurlは/終わっている必要があります。

let g:previm_plantuml_imageprefix = 'http://localhost:8888/png/'

これだけど、プレビュー画面で画像が表示されます。

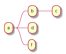
たとえば次のumlを書いた場合は、スクショのように出力されます。

```plantuml @startmindmap * a ** b *** c ** d ** f @endmindmap ```

さいごに

previmplantuml is便利。


Vim

2020/10/07 00:00